Lompat ke konten Lompat ke sidebar Lompat ke footer

Pertambahan Logaritma : 2 Contoh Soal Logaritma Penjumlahan Solusi Matematika : Mari yuk kita simak materi di bawah ini.

Pertambahan Logaritma : 2 Contoh Soal Logaritma Penjumlahan Solusi Matematika : Mari yuk kita simak materi di bawah ini.. Perkalian dan pembagian eksponen 4. Sebagai hasil pertambahan ukuran dan pembelahan sel atau pertambahan jumlah sel maka terjadi pertumbuhan populasi mikroba (iqbalali, 2008). Kita tahu sendiri yah kalau dalam matematika yang namanya operasi hitung itu pasti tidak lepas dari (penjumlahan, pengurangan, perkalian dan pembagian). Log dari b dengan basis a adalah: 31+ contoh soal logaritma pertambahan dan pengurangan.

Bentuk akar adalah akar dari bilangan rasional yang hasilnya bilangan irasional. Selanjutnya dengan menggunakan rumus laju pertumbuhan penduduk eksponensial, bisa diketahui laju pertumbuhan penduduk per tahun kabupaten a, yaitu sebagai berikut. ª log 1 = 0. Jika pada tahun 2007 wilayah itu mempunyai penduduk 10.000 jiwa dan pertumbuhan penduduknya 2% per tahun, tentukan. Video #soalhotsmatematikaunsbmptnlogaritma1 ini membahas contoh soal matematika logaritma dengan kategori hots untuk tipe un dan sbmptn.

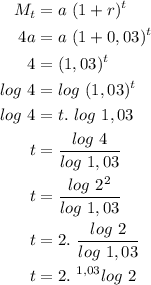
Contoh Soal Logaritma Pertambahan
Contoh Soal Logaritma Pertambahan from www.pelajaran.co.id
2 sumber suara dengan spl sama akan menjadi 3db lebih tinggi. Bentuk akar adalah akar dari bilangan rasional yang hasilnya bilangan irasional. Rumus, sifat, fungsi, persamaan dan contoh soal. Jika pada tahun 2007 wilayah itu mempunyai penduduk 10.000 jiwa dan pertumbuhan penduduknya 2% per tahun, tentukan. ª log a = 1. Academia.edu is a platform for academics to share research papers. ª log bⁿ = n • ª log b. Pada fase ini tidak ada pertambahan populasi, sel mengalami perubahan dalam komposisi kimia dan bertambah ukuran, substansi intraseluler bertambah.

Rumus logaritma pembagian logaritma pembagian dua bilangan sama dengan pengurangan logaritma dari pembilang numerus oleh penyebut numerus.

Rumus untuk bunga majemuk dalam n kali pemberian bunga tiap tahunnya adalah dalam rumus ini, a merupakan saldo, p adalah tabungan awal, r adalah bunga per tahun (dalam bentuk desimal), n adalah banyaknya waktu tiap tahunnya ketika bunga diberikan, dan t adalah waktu dalam tahun. Academia.edu is a platform for academics to share research papers. Logaritma adalah operasi hasil kebalikan dari sebuah perpangkatan. Logaritma, metabolisme sel paling aktif, sintesis bahan sel sangat cepat dengan jumlah Pada penulisan logaritma a log b c a disebut bilangan pokok dan b disebut bilangan numerus atau bilangan yang dicari nilai logaritmanya b 0 dan c merupakan hasil logaritma. Logaritma sendiri digunakan untuk menghitung pangkat berapakah sebuah bilangan agar hasilnya sesuai. Contohnya bilangan 3 dapat dinyatakan dalam bentuk 6/2, 9/3, 18/6 dan sebagainya. Eksponen dengan bilangan pokok 1 atau 0 2. Fase logaritma / exponensial fase logaritma / eksponensial ditandai dengan terjadinya periode pertumbuhan yang cepat. Semoga apa yang diulas diatas bermanfaat bagi pembaca setia gurupendidikan. Bilangan rasional merupanan suatu bilangan yang dapat dinyatakan dalam betuk a/b (pecahan) dimana a dan b adalah bilangan bulat dan b ≠ 0. 31+ contoh soal logaritma pertambahan dan pengurangan. Fase ini disebut fase logaritma atau fase eksponensial.

Penjumlahan tak hingga disebut deret tak hingga. Dalam matematika, penjumlahan adalah penambahan dari suatu urutan bilangan apa pun, hasilnya adalah jumlah atau total mereka. 2 sumber suara dengan spl sama akan menjadi 3db lebih tinggi. Jika pada tahun 2007 wilayah itu mempunyai penduduk 10.000 jiwa dan pertumbuhan penduduknya 2% per tahun, tentukan. Semoga apa yang diulas diatas bermanfaat bagi pembaca setia gurupendidikan.

Persamaan Logaritma Pengertian Sifat Rumus Contoh Soal
Persamaan Logaritma Pengertian Sifat Rumus Contoh Soal from rumus.co.id
Logaritma itu mudah disertai contoh dan pembahasan di. Misal a log b=x maka a x =b a log c=y maka a y =c. Salah satu contoh pertambahan eksponensial yang paling familiar adalah bunga majemuk. 31+ contoh soal logaritma pertambahan dan pengurangan. A log b = c. Hitung log dari b dengan basis a. Perkalian dan pembagian eksponen 4. Mari yuk kita simak materi di bawah ini.

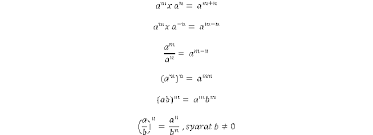
Pada penulisan logaritma a log b = c, a disebut bilangan pokok dan b disebut bilangan numerus atau bilangan yang dicari nilai logaritmanya (b > 0) dan c merupakan hasil logaritma.

Contohnya bilangan 3 dapat dinyatakan dalam bentuk 6/2, 9/3, 18/6 dan sebagainya. 2 sumber suara dengan spl sama akan menjadi 3db lebih tinggi. Jika nilai bilangan pokoknya merupakan bilangan e (bilangan eurel) dengan e = 2,718281828 maka logaritmanya ditulis dengan. ª log 1 = 0. Eksponen dengan bilangan pokok 1 atau 0 2. ª log b • c = ª log b + ª log c. Misal a log b=x maka a x =b a log c=y maka a y =c. ⇒ log 25 + log 5 + log 8 = 4. ª log a = 1. Sehingga laju pertumbuhan penduduk eksponensial kabupaten a per tahunnya adalah 0,0299 atau 2,99 persen. Fase ini disebut fase logaritma atau fase eksponensial. Pemangkatan eksponen dan perkalian berpangkat 5. Mari yuk kita simak materi di bawah ini.

Eksponen dengan bilangan pokok 1 atau 0 2. B = bilangan yang dilogaritma. Pada jasad bersel banyak (multiseluler), pembelahan sel. Pangkat nol dan bilangan negatif ª log bⁿ = n • ª log b.

3 Contoh Soal Logaritma Pengurangan Solusi Matematika
3 Contoh Soal Logaritma Pengurangan Solusi Matematika from 3.bp.blogspot.com
Pada penulisan logaritma a log b = c, a disebut bilangan pokok dan b disebut bilangan numerus atau bilangan yang dicari nilai logaritmanya (b > 0) dan c merupakan hasil logaritma. Penjumlahan dan pengurangan eksponen 3. Logaritma itu mudah disertai contoh dan pembahasan di. 2 sumber suara dengan spl sama akan menjadi 3db lebih tinggi. (uniseluler), pembelahan atau perbanyakan sel merupakan pertambahan jumlah individu. Penambahan 'logaritma' tekanan suara (db spl) 2007 august 20th 2007 by yp hadi sumoro kristianto page 4 kesimpulan penambahan desibel (sumber suara incoherent) dapat kita ambil: E0,04x25 = 100 x 2,71828 = 271,828 juta orang kelanjutan soal di atas, pada tahun berapa penduduk negara itu menjadi dua kali lipat? Logaritma adalah operasi hasil kebalikan dari sebuah perpangkatan.

Bentuk akar adalah akar dari bilangan rasional yang hasilnya bilangan irasional.

ª log bⁿ = n • ª log b. Logaritma sendiri digunakan untuk menghitung pangkat berapakah sebuah bilangan agar hasilnya sesuai. Selanjutnya dengan menggunakan rumus laju pertumbuhan penduduk eksponensial, bisa diketahui laju pertumbuhan penduduk per tahun kabupaten a, yaitu sebagai berikut. Dalam matematika, penjumlahan adalah penambahan dari suatu urutan bilangan apa pun, hasilnya adalah jumlah atau total mereka. ª log aⁿ = n. Video #soalhotsmatematikaunsbmptnlogaritma1 ini membahas contoh soal matematika logaritma dengan kategori hots untuk tipe un dan sbmptn. Pt = p0.ert (pertumbuhan pend. ⇒ log 25 + log 5 + log 8 = log (25 x 5 x 80) ⇒ log 25 + log 5 + log 8 = log 10.000. Rumus logaritma pembagian logaritma pembagian dua bilangan sama dengan pengurangan logaritma dari pembilang numerus oleh penyebut numerus. Rumus sifat fungsi persamaan dan contoh soal belakangan ini ilmu matematika telah berkembang pesatbukan hanya sebatas hitung menghitung menggunakan skala statistik nilai angka angka real kalkulus dan peluang. Pemangkatan eksponen dan perkalian berpangkat 5. Sifat logaritma lengkap beserta contoh soal dan pembahasan. Logaritma itu mudah disertai contoh dan pembahasan di.

Posting Komentar untuk "Pertambahan Logaritma : 2 Contoh Soal Logaritma Penjumlahan Solusi Matematika : Mari yuk kita simak materi di bawah ini."